/
  • 收藏
  • 下载
  • 打印
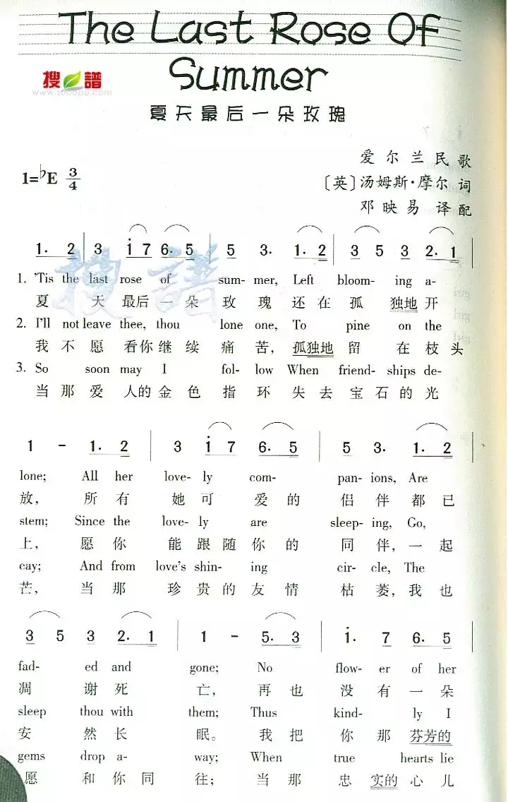
The Last Rose Of Summer简谱-虫虫乐谱
The Last Rose Of Summer简谱-虫虫乐谱

The Last Rose Of Summer介绍

该曲谱为调,难度,上传于2020-03-22。

The Last Rose Of Summer

The Last Rose Of Summer
演唱: 制谱:发财的羊肉串
难度:
月人气: 205 2020-03-22
终身VIP 折扣促销中
全站曲谱免费
曲谱无限下载
曲谱高清打印
立即查看
下载曲谱
打印曲谱
收藏曲谱
发财的羊肉串
发财的羊肉串
  • 其他版本
  • 曲谱评价

近期热搜

吐槽/咨询

有问题找客服

下载APP

回到顶部

App内打开